Water Activity
If you find any inaccurate information, please let us know by providing your feedback here

Tóm tắt nội dung
- INTRODUCTION
- THEORETICAL BACKGROUND
- FACTORS AFFECTING WATER ACTIVITY
- APPLICATION OF WATER ACTIVITY MEASUREMENTS
- TYPES OF WATER ACTIVITY INSTRUMENTS
- QUALIFICATION OF WATER ACTIVITY METERS
- OPERATION AND CALIBRATION OF WATER ACTIVITY METERS
- Procedure for Sample Measurement
- PROCEDURE FOR VERIFICATION AND VALIDATION
- OPERATION, CALIBRATION, AND VALIDATION OF NIR INSTRUMENTS
- REFERENCES
This article is compiled based on the United States Pharmacopeia (USP) – 2025 Edition
Issued and maintained by the United States Pharmacopeial Convention (USP)
1 INTRODUCTION
Many pharmacopeial articles include water within their matrices and are also susceptible to water exchange with the surrounding environment. Total water content is an important quality attribute, and several methods for determining water content are provided in Water Determination 〈921〉. Some of the water may be tightly bound and not available to participate in chemical, biochemical, or physicochemical reactions (e.g., as hydrate salts), whereas some of the water may be more freely available to participate in reactions such as hydrolysis or may provide an environment that can support microbiological growth. It is important to establish what fraction of the total water is available (active), and the determination of water activity (aw ) provides this information. This chapter outlines the recommended methods to qualify, calibrate, and use water activity meters to accurately measure the water activity (aw ) of raw materials and products.
2 THEORETICAL BACKGROUND
Water activity (aw ) is equal to the vapor pressure of water in the sample (p) relative to the vapor pressure of pure water (po) at the same w temperature (1,2):

p = partial vapor pressure of water in the sample at the temperature of the measurement
po = saturation vapor pressure of water at the temperature of the measurement
T = temperature of the measurement
RHeq = the equilibrium relative humidity above the sample or pure water
The saturation vapor pressure of pure water depends only on its temperature, so, if p and sample temperature are known, aw can be readily w
determined.
Measurement of p is performed by allowing a sample to equilibrate with the moisture in the headspace above the sample at ambient or a standardized temperature and then measuring the vapor pressure of water in the headspace. Water activity meters may measure the relative humidity of the headspace with a moisture-dependent resistor or capacitor, or they may use psychrometry (wet bulb temperature), optical absorption, or dew point temperature.
The relative humidity of the headspace of the instrument cell is defined as:

pa = partial vapor pressure of water in the air at the temperature of the measurement
po,a = saturation vapor pressure of pure water in the air at the temperature of the measurement
When the water vapor in the sample and the headspace are in equilibrium (p = pa ), combine the two equations:

Use this equation to determine the water activity of a sample from a relative humidity measurement of the headspace. If the air in the headspace is also in temperature equilibrium with the sample, the saturation vapor pressures divide out so that aw = RH. If the temperatures are not equal, and one assumes that water activity equals the air relative humidity, errors can be significant. If a wet bulb temperature is used to determine the headspace vapor pressure, the psychrometer equation is used, and vapor pressure of the sample is calculated as:

po,Twb = saturation vapor pressure of pure water at wet bulb temperature
γ = psychrometer constant
P = atmospheric pressure
Ta = ambient temperature (temperature of the air in headspace)
Twb = wet bulb temperature
The wet bulb temperature is lower than the ambient temperature as a result of the cooling provided by the evaporation rate of water. The psychrometric constant has a value of about 0.0006/degree but is reduced as the wet bulb temperature approaches the ambient temperature (3).
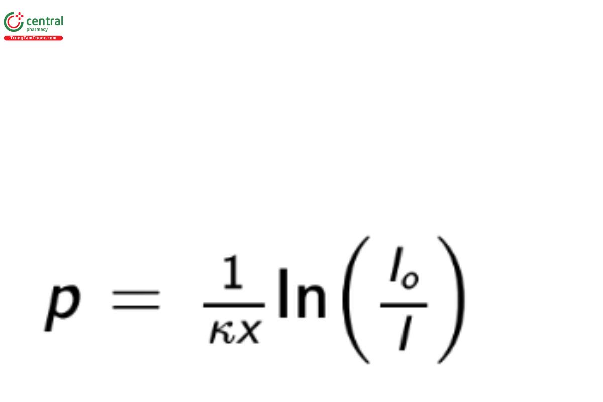
Optical absorption methods measure water vapor pressure via attenuation of ultraviolet or infrared light by the water vapor molecules in the headspace. The relationship between absorption and vapor pressure of the sample is given by Beer-Lambert law:

k = extinction coefficient
x = path length (cm)
Io = unattenuated beam strength
I = attenuated beam strength
The vapor pressure from this equation can be directly used, along with sample temperature, to calculate aw .
Dew point temperature can be used to determine water vapor pressure because the saturation vapor pressure of water at the dew point temperature is equal to the water vapor pressure of the air (po,Td = pa ) at the measurement temperature. For the dew point measurement, calculate the water activity as:

po,Td = saturation vapor pressure of pure water at dew point temperature
If the sample temperature and dew point temperature of the headspace air are known, the water activity can be calculated directly. Water vapor equilibration is still required, but temperatures do not need to be in equilibrium for this measurement to be accurate. To accurately measure the relative humidity of the headspace above the sample, the temperature of the sample needs to be constant and the headspace being sampled needs to be sealed off from the rest of the laboratory environment. Some instruments only perform measurements at ambient temperature, but other instruments control the temperature in the sample chamber and may perform a w
measurements over a wide range of temperatures. Methods that rely on dew point temperature or wet bulb temperature may not be able to accurately determine these lower temperatures if they are close to (or below) the freezing point of water. Therefore, these instruments may have difficulty accurately measuring samples with very low water activity. Verify the minimum water activity that the instrument manufacturer claims can be accurately measured with these instruments.
Errors in measurement may result from attempting to use the meter in a location where the temperature is not sufficiently stable or with a poor headspace seal (e.g., due to a worn O-ring or sample contamination of the O-ring). Presence of other volatiles (e.g., organic acids, Glycerin, alcohol) may adversely affect the measurement unless the sensor is protected appropriately. Contamination of the probe or the sample cup with extraneous water or hygroscopic solids also can affect the accuracy of the measurements.
3 FACTORS AFFECTING WATER ACTIVITY
When water is strongly bound to a solute or surface, the a is reduced. In solution, this relationship between the a and the solute w w
concentration is given by:
Inaw = −φmvmMw
φm = osmolality coefficient
v = stoichiometric coefficient for the solute
m = concentration of the solute (mol of solute/kg of water)
Mw = molar mass of water, 18.01528 g/mol
This relationship between solution osmolality and water activity allows the use of well-defined salt solutions for calibration of instruments. Specific water activity values can be produced by precise preparation of unsaturated salt solutions or by using saturated salt solutions at specific temperatures. Solutions with high osmolality will exhibit low water activity and will not support microbial growth.
When water is adsorbed to the surface of a solid, the relationship between the a and the enthalpy of adsorption is given by:

qst = net isosteric heat of sorption
R = universal gas constant
T = temperature (°K)
Q = isosteric heat of sorption
ΔHvap = enthalpy of the transition from vapor to adsorption in the sample
Hygroscopic solids may have multiple binding sites for water on a given surface; some water may be tightly bound and unavailable for chemical reactions or to support microbial growth, whereas some water may be more loosely bound and available. At low relative humidities, the stronger binding sites will be occupied first, qstwill be >44 kJ/mol, and the water activity will remain low. However, as relative humidity increases and once all the strong binding sites are occupied, additional adsorbed water will be associated with previously adsorbed water, qst will approach ΔH of water (43.99 kJ/mol at 25° C), and the water activity of the solid will increase significantly. vap
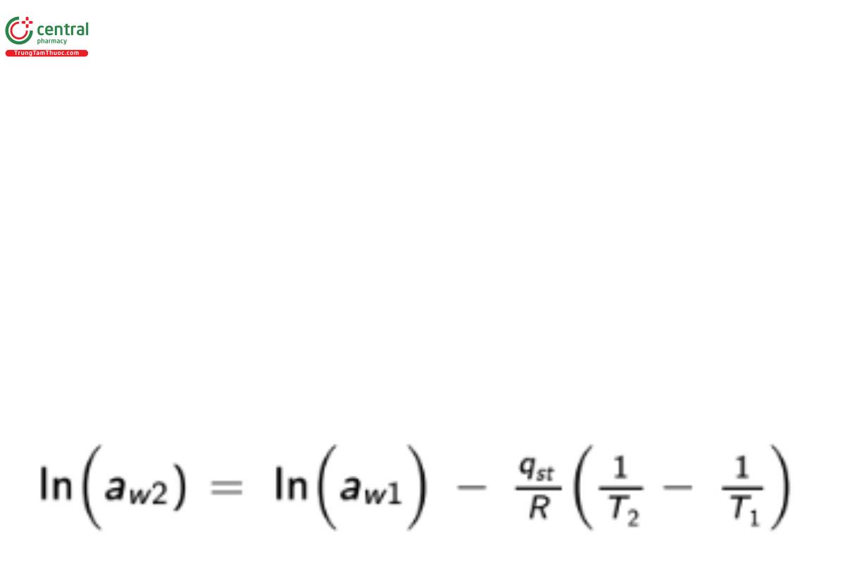
Water activity is measured at a specific temperature, but the temperature to which products are exposed varies greatly. The temperature dependence of the water activity is described by the Clausius–Clapeyron equation:

aw1 , aw2 = water activity at T1 and T2 , respectively
qst = isosteric heat of sorption
T1 ,T2 = temperature (°K)
R = universal gas constant (8.314 J/mol · K)
If the natural logarithm of water activity is plotted as a function of reciprocal Kelvin temperature, a straight line will result, with slope q /R. st
In hygroscopic solids at low water content, qst will be larger but will approach ΔHvap of water as the water content increases. As temperature increases, the water activity will also increase, but it will increase more significantly for hygroscopic solids with low water content. Therefore, if the water activity of a product or raw material is an important attribute (i.e., for risk assessments regarding the potential for supporting microbial growth) the risk assessment should be based on the worst-case (i.e., maximum) water activity, which is typically at the highest temperature.
Regardless of the principle of measurement, water activity meters can be calibrated and quantified using standard solutions (either saturated or unsaturated salt solutions) that provide a known and constant RHeq . Alternatively, a relative humidity generator may also be used for calibration.
4 APPLICATION OF WATER ACTIVITY MEASUREMENTS
The determination of aw aids in decisions during ingredient and product processes design, ingredient selection, packaging selection, and product storage conditions.1 These include:
- Selecting ingredient isolation and product manufacturing processes conditions in terms of maintaining aw below the critical threshold to obtain thermodynamic control of the desired solid form (e.g., hydrate versus anhydrate)
- Selecting excipients for which a may impact their material ow, compression characteristics, hardness, and performance characteristics (e.g., disintegration and dissolution) of dosage forms
- Optimizing fluidized bed drying processes
- Reducing the degradation of active ingredients within product formulations (e.g., those susceptible to chemical hydrolysis) Establishing the level of protection to product formulations to moisture by primary packaging materials during their shelf life Optimizing the shelf-life stability of probiotics
- Providing a complementary method for monitoring changes in water content
- Controlling and monitoring physical, chemical, and microbial product stability
- Optimizing formulations to improve the antimicrobial effectiveness of preservative systems
- Reducing the susceptibility of formulations to microbial contamination
- Providing a tool to justify the reduction of microbial testing of nonsterile drug and dietary supplements formulations (see Application of Water Activity Determination to Nonsterile Pharmaceutical Products 〈1112〉)
As per Validation of Compendial Procedures 〈1225〉, water activity methods will typically fall into Category III tests in which precision is a validation requirement; however, accuracy and specificity also may be relevant for fitness of purpose. Specificity may be a concern when other volatiles may affect the result of the water activity measurement and may be addressed by appropriate selection of the instrument type or use of organic filters to protect the water activity sensor. Optimal selection of the type of water activity instrument and the qualification requirements of that instrument will depend on the specific application(s).
5 TYPES OF WATER ACTIVITY INSTRUMENTS
5.1 Dew Point Temperature—Chilled Mirror
At the dew point temperature, the relative humidity will be 100%, the evaporation and condensation rates will be equal, and there will not be any net condensation. When the temperature of a surface drops below the dew point temperature, water will condense on it. The dew point temperature can be determined by cooling a mirror in the sample chamber until condensation begins to occur and recording the mirror temperature at that point. The condensation on the chilled mirror is detected by an optical sensor. The difference between the dew point temperature and the temperature of the sample chamber is used to determine the relative humidity. The mirror must be kept clean and protected from contamination by dust or volatiles that may condensate on the chilled mirror. Therefore, measurements on micronized powders may increase the likelihood of mirror contamination issues. The measurement of dew point temperature is a primary method of determining the vapor pressure of the headspace.
5.2 Electronic Hygrometers—Resistive (Electrolytic) Hygrometer
In this instrument, the relative humidity in the sample chamber is measured by a hygroscopic resistor. The resistor is a liquid electrolyte that absorbs or loses water to the air in the sample chamber, and the resulting resistance is proportional to the relative humidity. These sensors provide good precision and typically function over the aw range of 0.04–1.00. Volatile substances, which are soluble in the liquid electrolyte, may affect the resistance and interfere with the relative humidity measurement. Chemical filters may be used to absorb volatiles and prevent this interference. The response of these instruments is not necessarily linear, so sensors should be calibrated using multiple reference solutions over the entire operating range. Alternatively, a two-point linear calibration over a narrower range that brackets the sample may be used.
5.3 Electronic Hygrometers—Capacitive Hygrometer
In this instrument, the relative humidity in the sample chamber is measured by a hygroscopic capacitor. The capacitor consists of a hygroscopic dielectric polymer held between conductive plates. The polymer absorbs or loses water to the air in the sample chamber, and the resulting capacitance is proportional to the relative humidity. These sensors may become saturated at high aw and may exhibit hysteresis after measurement of high aw samples. Capacitive hygrometers are typically less affected by other volatiles than resistive or dew point sensors; however, care should still be used when performing measurements in the presence of other volatile compounds. The response of these instruments is not necessarily linear, so sensors should be calibrated using multiple reference solutions over the entire operating range. Alternatively, a two-point linear calibration over a narrower range that brackets the sample may be used.
5.4 Optical Hygrometer—Tunable Diode Laser
Water molecules in the gas phase above a product absorb UV and NIR radiation. Strong and broad absorption bands exist that can be used to measure the vapor pressure of air, but many of these are near absorption bands of other volatiles that may interfere. Therefore, broadband optical hygrometers are not useful for water activity measurements. The absorption bands are comprised of individual transitions are unique not only to a specific molecule but to a particular isotope of water. A diode laser can produce light at a specific wavelength, with aw narrow bandwidth of <1 nm. The wavelength of a tunable diode laser (TDL) can be tuned to a specific isotopic absorption line in the water vapor spectrum by controlling the laser temperature and can be scanned across that line by modulating the laser current (and, therefore, the laser’s temperature). This modulation provides both the attenuated and unattenuated laser intensities in the headspace, from which the vapor pressure of the headspace can be calculated. Because the TDL is capable of measuring vapor pressure in the presence of even high concentrations of other volatiles, it is the only method that can correctly measure water activity in these situations. Electronic and dew point hygrometers can sometimes function in the presence of low concentrations of volatiles, but readings are always adversely affected by the volatile. The TDL also can be used to measure water activity non-invasively in transparent sealed containers.
5.5 Near-Infrared Spectroscopy
Near-infrared spectroscopy (NIR) does not measure a directly but can be used to infer the aw simultaneously with the water content. The use of NIR to measure a is based on first generating a prediction model for aw particular official article (product or raw material) to correlate NIR absorbance spectra to the aw (measured with one of the previously mentioned direct methods). This prediction model then may be used to rapidly predict the aw of additional samples. When additional prediction models are available, NIR can be used for simultaneous determination of other components such as the content of active ingredients, additives, or excipients. The NIR method is ideally suited for rapid analysis of raw materials, in-process materials, and end products.
5.6 Other Methods
Other methods for measurement of aw may be useful but are more rarely employed for routine measurements of pharmaceutical products, dietary supplements, and raw materials. These methods include hair hygrometry, freezing point depression, thermocouple psychrometry, and isopiestic methods. Hair hygrometers may be useful for approximate aw measurements but not for routine work due to long equilibration times and low accuracy. The freezing-point and thermocouple psychometry instruments are only useful for measurements at high aw (>0.8) and, therefore, have limited applicability. The isopiestic methods rely on the measurement of the moisture sorption isotherm and, therefore, entail lengthy procedures that gather information on the aw over a range of water content.
6 QUALIFICATION OF WATER ACTIVITY METERS
Most water activity instruments, namely electronic hygrometers, dew point instruments, and others, are classied as Group B instruments as described in Analytical Instrument Qualication 〈1058〉. The qualication of a water activity instrument should cover the intended operational range of the instrument, the required accuracy of the instrument, and the required precision of the instrument (for more details, see 〈1058〉). Acceptance criteria for fitness for purpose are based on the uncertainty of a generated by the reference material and the w
performance specification of the instrument.
Any type of water activity instrument that is shown to be t for the intended purpose, by meeting the qualification criteria, may be used to provide aw results according to the guidelines of this chapter.
In contrast, NIR instruments are classied as Group C instruments as described in 〈1058〉. Therefore, the "analytical instrument qualication" described in 〈1058〉 and Near-Infrared Spectroscopy 〈856〉 is not applicable to these instruments.
7 OPERATION AND CALIBRATION OF WATER ACTIVITY METERS
Procedure for Standard Solutions
Water activity meters should be calibrated by using either prepared or purchased standard solutions or by using a calibrated humidity generator. Standard solutions may be prepared or purchased from the instrument manufacturer.
When using purchased solutions, follow the provided use instructions for these standard solutions, including any handling recommendations, storage recommendations, and expiry dating.
Table 1 lists common saturated salt solutions that may be prepared by the user for calibration or checking the calibration of water activity instruments. Saturated salt solutions may be prepared using Purified Water and pure salts (≥99% purity). The salts do not need to be dried prior to use. Standard solutions should be prepared well before use to allow for equilibration of the salt solubility.1 For previously prepared saturated salt solutions, it should be evident that the solution is still saturated due to the presence of additional undissolved salt, and liquid should completely cover the bottom of the sample container holding the saturated salt solution. Most water activity instrument sample cups are specifically designed to fit that instrument. The saturated salt solution may be prepared in the sample cup or may be prepared in a separate container and transferred to the sample cup for use. In either case, the standard solution should be placed into the sample cup according to the recommendations of the instrument manufacturer with regard to the amount of sample that should be present in the cup during the measurement. In addition to the saturated salt solutions listed in Table 1, Puried Water may be used as a 1.00 aw standard solution. It is not required to include a standard at zero water activity; rather, it is acceptable to use an appropriate low aw standard solution (e.g., lithium bromide or lithium chloride) for samples that have aw values up to 0.05 aw below the low aw standard solution.
Table 1. Common Saturated Salt Solutions Routinely Used to Calibrate Water Activity Determination Instruments
Salt | Saturation (g/100 mL) CApproximate Solubility at Saturation (g/100 mL) | RHeq (%) at 25° Ca | aw at 25° Ca
|
Potassium sulfate (K2SO4) | 11 | 97.30 | 0.973 ± 0.005 |
Potassium chloride (KCl) | 34 | 84.34 | 0.843 ± 0.003 |
Sodium chloride (NaCl) | 36 | 75.29 | 0.753 ± 0.001 |
Sodium bromide (NaBr) | 91 | 57.57 | 0.576 ± 0.004 |
Magnesium nitrate [Mg(NO3)2] | 70 | 52.89 | 0.529 ± 0.002 |
Potassium carbonate (K2CO3) 2 3 | 111 | 43.16 | 0.432 ± 0.004 |
Magnesium chloride (MgCl2) | 55 | 32.78 | 0.328 ± 0.002 |
Potassium acetate (KCH3CO2) | 256 | 22.51 | 0.225 ± 0.003 |
Lithium chloride (LiCl) | 84 | 11.30 | 0.113 ± 0.003 |
Lithium bromide (LiBr) | 160 | 6.38 | 0.064 ± 0.005 |
a The equilibrium relative humidity for these salts at other temperatures, as well as humidities for other salts, are in Greenspan 1977 (2).
7.1 Calibration of water activity meters
Calibration should be performed annually, as well as any time the calibration check fails.
As described in Types of Water Activity Instruments, the sensors in many water activity meters may not provide a linear response over the entire usable water activity range. For instruments with significant non-linearity, a multi-point calibration may be required. However, it is also acceptable to use a two-point, linear calibration over a narrower range that brackets the range of anticipated use. Any time the range of intended use changes, a re-calibration of the instrument should be performed.
Water activity instruments may be adversely affected by significant changes in the atmospheric pressure in the laboratory. Some instruments may be able to correct for changes in the atmospheric pressure while others may require re-calibration. If the instrument includes a correction for atmospheric pressure, verify that the correct atmospheric pressure is used during the calibration, calibration check, and sample measurement procedures.
Perform the instrument calibration according to the directions of the instrument manufacturer using either prepared or purchased standard solutions or using a calibrated humidity generator.
Ideally, the calibration of the water activity instrument should be performed at the temperatures at which it will be used; however, this may not always be feasible. The calibration must be performed at a temperature for which the water activities of the standard solutions are accurately known. (Regardless of the temperature used for the calibration of the instrument, the calibration check should be performed at the temperature of use.)
Following successful calibration, proceed with the Procedure for Calibration Check.
7.2 Procedure for calibration check
The purpose of the calibration check is to confirm that the instrument provides a measurement result that is statistically equivalent to the true value of the standard solution. It is acceptable to use either the instrument manufacturer’s recommended acceptance criterion for a calibration check or the acceptance criterion described here. A calibration check should be performed each day the instrument is used to perform a measurements (e.g., every 24 h during continual use). The results of the calibration check should be recorded so that the w
performance of the instrument can be monitored over time.
Any purchased or prepared standard solutions may be used to check the calibration of the instrument. It is recommended to use one or more standard solutions on a regular basis as aw calibration check so that the performance of the instrument may be followed over time. Use of a low a and high a standard solution in aw calibration check is recommended.
Preferably select a low a and high aw standard solution that brackets the aw range of the samples to be evaluated or, alternatively, aw single standard solution that is close to the expected aw of the samples. Perform the calibration check at the same temperature as the sample measurements. A successful calibration check may be performed either before or after the sample analysis. If there is a significant concern that sample measurements may adversely affect the water activity sensor (e.g., presence of volatiles or powders in the sample), it is recommended that a calibration check be performed after the sample analysis.
The acceptance criterion is that the absolute error (ABS ERR) must be less than the sum of the instrument repeatability and the uncertainty in the standard solution:
ABS ERR = |aw° − aw | ≤ (Repeatability of the instrument) + (Uncertainty of aw°)
aw° = expected water activity for the standard salt solution at the temperature of the measurement (see Table 1 or documentation for
standard), repeatability of the instrument is twice the standard deviation of the instrument at that water activity,2 and uncertainty of aw° is either taken from Table 1 or is provided by the supplier of the purchased standard solution. Because the aw result will be
usually reported to two or three significant digits depending on the precision of the instrument, if the calculated acceptance criterion is calculated to be ≤0.01, then the acceptance criterion of 0.01 should be used.
It is recommended to perform the calibration check with the same number of replicates as will be performed on the samples. For example, if single measurements will be tested and reported, then the calibration check should be performed with a single measurement. If replicate measurements will be performed, then the calibration check should use the same number of replicates and the acceptance criterion applied to the mean result. If the reading falls outside the acceptance range, clean the system and check the age of the standard solution. If the acceptance criterion is still not met, perform a new calibration.
In some use cases (e.g., use of water activity for process analytical measurements), it may be acceptable to allow for some instrument drift over time without requiring the re-calibration of the instrument. In these cases, the ABS ERR acceptance criterion should still be used to initially verify acceptable calibration of the instrument, but an alternative acceptance criterion can be used on subsequent calibration checks to verify acceptable calibration. As an example of a modified criterion:
ABS ERR = |aw° − aw | ≤ (Repeatability of the instrument) + (Uncertainty of aw°)+ (Acceptable drift)
Following a successful calibration check, proceed with the Procedure for Sample Measurement.
8 Procedure for Sample Measurement
8.1 Sample preparation
It is very important to ensure that after sampling, during transportation to the laboratory where a determinations will take place, samples w
are kept in well-sealed, water-impermeable containers to protect them from any changes in water composition due to differences in temperature and/or %RH at different locations. It is recommended that the sample containers have minimal headspace or a larger sample mass to avoid significant changes in water activity due to re-equilibration of the sample to the environment in the sampling container. Large measurement errors can potentially result from 1) condensation of water on container walls due to temperature gradients in containers with samples that contain high water activity and 2) permeable sample containers exposed to high relative humidity. To prevent variability in the test results due to the exposure of the material to (and rapid re-equilibration with) the surrounding %RH, the analyst must be consistent with sample preparation. Performing the water activity test immediately after opening the sealed package is recommended.
To prepare a sample for testing, add the material to the sample container designed for use in the water activity meter. For uniform powders or liquids, it is recommended that the sample material should cover the bottom surface of the sample container entirely unless alternate methods have been verified. Avoid getting testing material on the outside, rim, or above the advised range as per manufacturer's instructions. For non-uniform samples, sample preparation details should be provided within monographs for products that specify the application of a determinations. Details should include how the sample should be presented in the instrument (i.e., tablets could be w
presented as whole units or ground tablets, chewable gels could be sliced in thin pieces, and capsules could also be presented as whole units or capsule contents). The required approach should be specified together with the number of whole units or mass of ground-tablet powder/sliced gels/capsule contents.
8.2 Calibration check
A calibration check should be performed every day the instrument is used to perform measurements. In addition, verify that the instrument is not due for its periodic calibration prior to performing measurements.
8.3 Measurement procedure
Analyze the sample per the instrument manufacturer's instructions.
8.4 Reporting results
Record the equilibrium aw and the equilibrium temperature. Report the aw value or mean value of replicate measurements to two or more significant digits, depending on the application. Report the temperature rounded to the nearest 0.1° C.
9 PROCEDURE FOR VERIFICATION AND VALIDATION
It is recommended that the testing laboratory conducts some verification of the aw method because aw determinations may be sensitive to variations in sampling procedures, the presence of other volatile components, variations in instrument types and option settings. The recommended parameters to evaluate for verification of the method are Precision (Repeatability) and Intermediate Precision.
9.1 Precision (Repeatability)
Repeatability is assessed by conducting the aw determination on six separate aliquots of the same sample while applying the same sample preparation procedure and instrument settings intended for routine sample testing. Repeatability of the instrument can be assessed by repeated measurements of a salt standard solution in the same manner. If repeatability of the a measurement on aw sample is significantly greater than the repeatability of the instrument, then the instrument may not be suitable for routine measurements of that sample due to the presence of other volatile components interfering with the precision of the instrument.
The acceptance criterion is that the relative standard deviation is NMT 5.0% for aw > 0.4, NMT 15% for 0.15 < aw ≤ 0.4, and NMT 20% for aw ≤ 0.15.
9.2 Intermediate Precision
The effect of random events on the analytical precision of the procedure should be evaluated. Typical variables include conducting the test on different days, using different instrumentation, and having different analysts perform the test. A combination of at least two of these factors totaling six determinations of aliquots taken from the same batch will provide an estimation of intermediate precision. The acceptance criterion is that the relative standard deviation is NMT 6.0% for aw > 0.4, NMT 15% for 0.15 < aw ≤ 0.4, and NMT 20% for aw ≤ 0.15.
10 OPERATION, CALIBRATION, AND VALIDATION OF NIR INSTRUMENTS
As described in Near-Infrared Spectroscopy, NIR is based on a different physical principle than typical water activity meters and cannot be used for the measurement of the relative humidity of the air above the product. Therefore, the procedure for operation, calibration, and validation described above is not suitable for NIR instruments. More details about operation and calibration of NIR can be found in 〈856〉. Recommendations for the method development and validation of NIR instruments can be found in Chemometrics 〈1039〉 and 〈1225〉.
11 REFERENCES
1. Cundell AM, Fontana A, eds. Water Activity Application in the Pharmaceutical Industry. Bethesda, MD: Davis Horwood/PDA; 2009.
2. Greenspan L. Humidity fixed points of binary saturated aqueous solutions. J Res Natl Bureau Stand. 1977;81A(1):89–96. 3. Loescher, HW, Hanson CV, Ocheltree TW. The psychrometric constant is not constant: a novel approach to enhance the accuracy and precision of latent energy fluxes through automated water vapor calibrations. J Hydrometeorol. 2009;10(5):1271–1284. (USP 1-May-2021)
1 A default equilibration time of 48 h is recommended for the initial preparation of saturated salt solutions; however, less time may be required if the water activity is confirmed to be stable experimentally. After preparation, the solution will thermally equilibrate to the temperature of use relatively quickly (i.e., 1–2 h).
2 The repeatability of the instrument may be based on the instrument manufacturer’s characterization of the instrument capabilities or determined by performing replicate measurements on the standard solution as described in Precision (Repeatability).

