Silicified Microcrystalline Cellulose
If you find any inaccurate information, please let us know by providing your feedback here

Tóm tắt nội dung
This article is compiled based on the United States Pharmacopeia (USP) – 2025 Edition
Issued and maintained by the United States Pharmacopeial Convention (USP)
1 DEFINITION
Silicified Microcrystalline Cellulose is composed of intimately associated microcrystalline cellulose and colloidal silicon dioxide particles, derived from aqueous coprocessing prior to drying the material during manufacture. The microcrystalline cellulose component is purified, partially depolymerized cellulose, prepared by treating alpha cellulose, obtained as a pulp from fibrous plant material, with mineral acids. The colloidal silicon dioxide is a submicroscopic fumed silica prepared by the vapor-phase hydrolysis of a silicon compound. The Residue on Ignition result indicates the percentage of colloidal silicon dioxide; the remainder is microcrystalline cellulose.
2 IDENTIFICATION
Change to read:
A. SPECTROSCOPIC IDENTIFICATION TESTS (197), Infrared Spectroscopy: 197K (CN 1-MAY-2020)
B.
Sample: 10 mg
lodinated zinc chloride solution: Dissolve 20 g of zinc chloride and 6.5 g of potassium iodide in 10.5 mL of water. Add 0.5 g of iodine, and shake for 15 min.
Analysis: Place the Sample on a watch glass, and disperse in 2 mL of lodinated zinc chloride solution.
Acceptance criteria: The substance takes on a violet-blue color.
C.
Sample: 5 mg of residue from the test for Residue on Ignition
Analysis: Transfer the Sample to a platinum crucible, and mix with about 200 mg of anhydrous potassium carbonate. Ignite at a red heat over a burner for about 10 min, and cool. Dissolve the melt in 2 mL of freshly distilled water, warming if necessary, and slowly add 2 mL of ammonium molybdate TS to the solution.
Acceptance criteria: A deep yellow color is produced.
D. SILICA DISPERSION UNIFORMITY TEST
Conditioned test substance: Pass Silicified Microcrystalline Cellulose through an 850-µm sieve, disperse it into a suitable scale blender,1 and tumble/mix the test substance for a minimum of 20 min to condition the material in preparation.
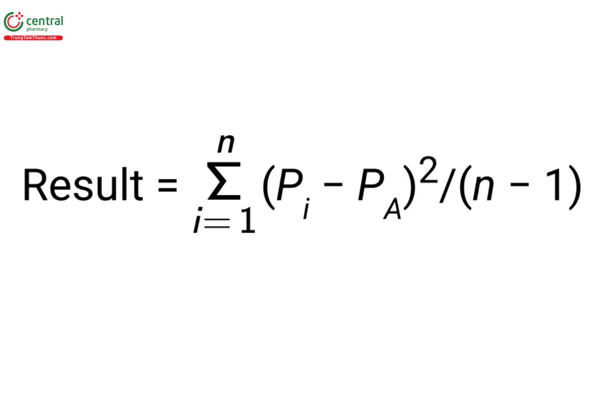
Analysis: Assemble a sieve stack composed of the following nested sieves: 60-, 80-, 120-, 200-, 325-, and 400-US mesh, plus pan. Tare each sieve to the nearest 0.1 g. Weigh 200.0 g of the Conditioned test substance, and transfer to the top sieve. Agitate the sieve stack on a suitable sieve shaker for 20 min. Separate and record the weight of each sieve, including the Conditioned test substance fraction. Determine the Conditioned test substance fraction mass by difference. Analyze a test substance from each sieve fraction, using Residue on Ignition (281). Obtain the Residue on Ignition (ROI) value in percentage, P, for each sieve fraction, excluding any fraction weighing less than 0.5 g. Calculate the average percentage of ROI value, PA, for Pi (i = 1-6).
Calculate the variance for the sieve fraction, excluding the pan and any fraction weighing less than 0.5 g:

Acceptance criteria: NMT 0.02
3 SPECIFIC TESTS
3.1 RESIDUE ON IGNITION (281)
1.8%-2.2%
3.2 MICROBIAL ENUMERATION TESTS (61)and TESTS FOR SPECIFIED MICROORGANISMS (62)
The total aerobic microbial count does not exceed 103 cfu/g, and the total combined molds and yeasts count does not exceed 102 cfu/g.
3.3 CONDUCTIVITY
Sample: 5 g
Analysis: Shake the Sample with 40 mL of water for 20 min, and centrifuge. Retain the supernatant for use in the pH test. Using an appropriate conductivity meter that has been standardized with a potassium chloride conductivity calibration standard having a conductivity of 100 µS/cm, measure the conductivity of the supernatant after a stable reading is obtained, and measure the conductivity of the water used to prepare the test specimen.
Acceptance criteria: The conductivity of the supernatant does not exceed the conductivity of the water by more than 75 µS/cm.
3.4 pH (791)
5.0-7.5 for the supernatant obtained in the Conductivity test
3.5 LOSS ON DRYING (731)
Analysis: Dry at 105° for 3 h.
Acceptance criteria: NMT 7.0%, within a percentage range, as specified in Labeling
3.6 DEGREE OF POLYMERIZATION
Sample: 1.3 g, weighed to 0.1 mg
Analysis: Transfer the Sample to a 125-mL conical flask. Add 25.0 mL of water and 25.0 mL of 1.0 M cupriethylenediamine hydroxide solution. Immediately purge the solution with nitrogen, insert the stopper, and shake on a wrist action shaker or other suitable mechanical shaker until completely dissolved. Transfer an appropriate volume of the solution to a calibrated number 150 Cannon-Fenske, or equivalent, viscometer. Allow the solution to equilibrate at 25 ± 0.1° for NLT 5 min. Time the flow between the two marks on the viscometer.
Calculate the kinematic viscosity of the Sample taken:
v1 = t1 x k1
t1 = time of flow between the two marks on the viscometer (s)
k1 = viscometer constant (see Viscosity-Capillary Methods (911))
Obtain the flow time for a 0.5 M cupriethylenediamine hydroxide solution, using a number 100 Cannon-Fenske, or equivalent, viscometer.
Calculate the kinematic viscosity of the solvent:
v2 = t2 x k2
t2 = time of flow for a 0.5 M cupriethylenediamine hydroxide solution (s)
k2 = viscometer constant
Determine the relative viscosity of the Silicified Microcrystalline Cellulose taken:
Result = v1/v2
Calculate the degree of polymerization:
Result = 95 x [η]c/{WS x [(100-ROI)/100] x [(100-LOD)/100]}
[η]c = value from interpolation of the relative viscosity, using the Intrinsic Viscosity Table in the Reference Tables section
WS = weight of the sample taken (g)
ROI value from the test for Residue on Ignition (%)
LOD = value from the test for Loss on Drying (%)
Acceptance criteria: NMT 350
3.7 BULK DENSITY
Sample: Silicified Microcrystalline Cellulose powder
Analysis: Use a volumeter that has been fitted with a 10-mesh screen. The volumeter is freestanding of the brass or stainless steel cup, which is calibrated to a capacity of 25.0 ± 0.05 mL and has an inside diameter of 30.0 ± 2.0 mm. Weigh the empty cup, position it under the chute, and slowly pour the powder from a height of 5.1 cm (2 inches) above the funnel through the volumeter, at a rate suitable to prevent clogging, until the cup overflows. [NOTE-If excessive clogging of the screen occurs, remove the screen.] Level the excess powder, and weigh the filled cup. Calculate the bulk density by dividing the weight of the powder in the cup by the volume of the cup.
Acceptance criteria: Within the labeled specification
3.8 PARTICLE SIZE DISTRIBUTION
Where the labeling states the particle size distribution, determine the particle size distribution as directed in a suitable validated procedure.
3.9 WATER-SOLUBLE SUBSTANCES
Sample: 5.0 g
Analysis: Shake the Sample with 80 mL of water for 10 min, and filter with the aid of vacuum through filter paper (Whatman No. 42 or equivalent) into a vacuum flask. Transfer the filtrate to a tared beaker, evaporate to dryness without charring, dry at 105° for 1 h, cool in a desiccator, and weigh.
Acceptance criteria: NMT 0.25%; the difference between the weight of the residue and the weight obtained from a blank determination is NMT 12.5 mg.
3.10 ETHER-SOLUBLE SUBSTANCES
Sample: 10.0 g
Analysis: Place the Sample in a chromatographic column having an internal diameter of about 20 mm, and pass 50 mL of peroxide-free ether through the column. Evaporate the eluate to dryness in a previously dried and tared evaporating dish with the aid of a current of air in a fume hood. After all the ether has evaporated, dry the residue at 105° for 30 min, cool in a desiccator, and weigh.
Acceptance criteria: NMT 0.05%; the difference between the weight of the residue and the weight obtained from a blank determination is NMT 5.0 mg.
4 ADDITIONAL REQUIREMENTS
4.1 PACKAGING AND STORAGE
Preserve in tight containers. No storage requirements specified.
4.2 LABELING
Label it to indicate the nominal Loss on Drying, Bulk Density, and Degree of Polymerization values. Where the particle size distribution is stated in the labeling, proceed as directed in Particle Size Distribution. The labeling indicates the technique with which the particle size distribution was determined, if a technique other than analytical sieving was used. The labeling also indicates the d₁ords and d90 values and the range for each. 10 50
4.3 USP REFERENCE STANDARDS (11)
USP Silicified Microcrystalline Cellulose RS
1 Planetary mixer, Turbula T2F mixer, or V-blender.

