Oxybutynin Chloride Extended-Release Tablets
If you find any inaccurate information, please let us know by providing your feedback here

Tóm tắt nội dung
This article is compiled based on the United States Pharmacopeia (USP) – 2025 Edition
Issued and maintained by the United States Pharmacopeial Convention (USP)
1 DEFINITION
Oxybutynin Chloride Extended-Release Tablets contain NLT 90.0% and NMT 110.0% of the labeled amount of oxybutynin chloride (C21H31NO3 · HCl).
2 IDENTIFICATION
Change to read:
A. Spectroscopic Identification Tests 〈197〉, Infrared Spectroscopy: 197F (CN 1-May-2020)
Standard: Dissolve 15 mg of USP Oxybutynin Chloride RS in 5 mL of water. Adjust with 0.1 N sodium hydroxide to a pH of between 7 and 8. Extract the solution twice with 10 mL of ether. Combine the extracts, evaporate the ether, and dry under vacuum over silica gel for at least 30 min. Redissolve the dried residue in a small amount of acetone, transfer the solution to an IR salt plate, and evaporate to cast a thin film.
Sample: Add a quantity of finely powdered Tablets, equivalent to about 15 mg of oxybutynin chloride, to 5 mL of water per Tablet. Mix for 1 min. Adjust with 0.1 N sodium hydroxide to a pH between 7 and 8. Extract the solution twice with 10 mL of ether. Combine the extracts, evaporate the ether, and dry under vacuum over silica gel for at least 30 min. Redissolve the dried residue in a small amount of acetone, transfer the solution to an IR salt plate, and evaporate to cast a thin film.
B. The retention time of the major peak of the Sample solution corresponds to that of the Standard solution, as obtained in the Assay.
3 ASSAY
Procedure 1
Diluent: Use water adjusted with phosphoric acid to a pH of 3.5.
Solution A: Methanol and acetonitrile (1:1)
Mobile phase: Acetonitrile, triethylamine, and water (700:3:1300). Adjust with phosphoric acid to a pH of 3.9.
Impurity stock solution: 0.11 mg/mL of USP Oxybutynin Related Compound A RS in acetonitrile
Standard stock solution: 0.37 mg/mL of USP Oxybutynin Chloride RS in acetonitrile
System suitability solution: Transfer 10 mL of the Standard stock solution and 1 mL of the Impurity stock solution to a 100-mL volumetric flask, and dilute with Diluent to volume.
Standard solution: 0.1 mg/mL of USP Oxybutynin Chloride RS in Diluent from the Standard stock solution
Sample solution
For Tablets that contain 5 mg of oxybutynin chloride: Place 10 Tablets in a 500-mL volumetric flask, add 150 mL of Solution A, and stir for at least 4 h or until dissolved. Dilute with Diluent to volume. Mix thoroughly, centrifuge, and use the clear supernatant. For Tablets that contain 10 mg or more of oxybutynin chloride: Place 10 Tablets in a 1000-mL volumetric flask, add 300 mL of Solution A, and stir for at least 4 h or until dissolved. Dilute with Diluent to volume. If necessary, make a further dilution with Diluent to obtain a solution having a nal concentration equivalent to 0.1 mg/mL of oxybutynin chloride. Mix thoroughly, centrifuge, and use the clear supernatant.
3.1 Chromatographic system
(See Chromatography 〈621〉, System Suitability.)
Mode: LC
Detector: UV 220 nm
Column: 4.6-mm × 15-cm; packing L11
Flow rate: 1.5 mL/min
Injection volume: 50 µL
3.2 System suitability
Sample: System suitability solution
[Note—The relative retention times for oxybutynin and oxybutynin related compound A are about 1.0 and 1.6, respectively.]
Suitability requirements
Resolution: NLT 1.5 between oxybutynin and oxybutynin related compound A
Tailing factor: Greater than 0.75 and NMT 2.5 for each peak
Relative standard deviation: NMT 3% for each compound for six replicate injections
3.3 Analysis
Samples: Standard solution and Sample solution
Calculate the percentage of the labeled amount of oxybutynin chloride (C21H31NO3 · HCl) in the portion of Tablets taken:
Result = (rU /rS ) × (CS /CU ) × 100
rU = peak response from the Sample solution
rS = peak response from the Standard solution
CS = concentration of USP Oxybutynin Chloride RS in the Standard solution (mg/mL)
CU = nominal concentration of oxybutynin chloride in the Sample solution (mg/mL)
Acceptance criteria: 90.0%–110.0%
Procedure 2: Use Procedure 2 for Tablets labeled to meet the requirements of USP Dissolution Test 9.
Mobile phase, Chromatographic system, System suitability and Analysis: Proceed as directed in Assay Procedure 1. Diluent: Methanol and water (80:20)
Impurity stock solution: 0.11 mg/mL of USP Oxybutynin Related Compound A RS in methanol. Sonicate to dissolve, if necessary.
Standard stock solution: 0.37 mg/mL of USP Oxybutynin Chloride RS in Diluent. Sonicate to dissolve, if necessary.
System suitability solution: Transfer 10 mL of the Standard stock solution and 1 mL of the Impurity stock solution to a 100-mL volumetric flask, and dilute with Diluent to volume.
Standard solution: 0.1 mg/mL of USP Oxybutynin Chloride RS in Diluent from the Standard stock solution
Sample solution: Nominally 0.1 mg/mL of oxybutynin chloride prepared as follows. Place 10 Tablets in an appropriate volumetric flask, add 60% of the ask volume of Diluent, and sonicate for at least 60 min with intermittent shaking. Maintain the temperature of the sonicator between 20 and 25°. Dilute with Diluent to volume. Mix thoroughly, centrifuge, and use the clear supernatant. Further dilute with Diluent as needed. [Note—Centrifuging at 6000 rpm for 10 min may be suitable.]
Acceptance criteria: 90.0%–110.0%
4 PERFORMANCE TESTS
Change to read:
Dissolution 〈711〉
4.1 Test 1
Medium: Simulated gastric uid without enzyme; 50 mL
Apparatus 7: See Drug Release 〈724〉, 30 cycles/min; 2–3-cm amplitude, at 37.0 ± 0.5°
Times: 4, 10, and 24 h
Solution A: 4.83 g/L of monobasic sodium phosphate in water. Add 2.3 mL/L of triethylamine, and adjust with phosphoric acid to a pH of 2.2 ± 0.2.
Mobile phase: Acetonitrile and Solution A (7:13)
Solution B: To 1 L of water add phosphoric acid dropwise to a pH of 3.5, and mix well.
Standard stock solutions: 250, 300, and 350 µg/mL of USP Oxybutynin Chloride RS in acetonitrile
Standard solutions: Prepare a series of dilutions of the Standard stock solutions in Solution B having nal concentrations similar to those expected in the Sample solution.
System suitability solution: Use a medium range Standard solution of USP Oxybutynin Chloride RS.
Sample solution: Use portions of the solution under test. If the solution is cloudy, centrifuge at 2000 rpm for 10 min, and use the supernatant.
4.1.1 Chromatographic system
(See Chromatography 〈621〉, System Suitability.)
Mode: LC
Detector: UV 230 nm
Column: 4.6-mm × 5-cm; packing L11
Column temperature: 35°
Flow rate: 1.5 mL/min
Injection volume: 50 µL
4.1.2 System suitability
Sample: System suitability solution
Suitability requirements
Tailing factor: Greater than 0.5 and less than 2.5
Relative standard deviation: NMT 2.0%
4.2 Analysis
Samples: Standard solutions and Sample solution
Construct a calibration curve by plotting the peak response versus concentration of the Standard solutions. A weighing factor, 1/x, is applied to the regression line of the calibration curve to enhance the accuracy of the low standard concentrations. Determine the percentage of oxybutynin chloride (C21H31NO3 · HCl) dissolved in each interval from a linear regression analysis of the calibration curve.
Tolerances: See Tables 1 and 2.
Table 1. For Tablets Labeled to Contain 5 or 10 mg of Oxybutynin Chloride
Time (h) | Amount Dissolved |
4 | NMT 20% |
10 | 34.5%–59.5% |
24 | NLT 80% |
Table 2. For Tablets Labeled to Contain 15 mg of Oxybutynin Chloride
Time (h) | Amount Dissolved |
4 | NMT 20% |
10 | 34.5%–59.5% |
24 | NLT 75% |
The percentages of the labeled amount of oxybutynin chloride (C21H31NO3 · HCl) dissolved at the times specified conform to Dissolution〈711〉, Acceptance Table 2.
4.3 Test 2
If the product complies with this test, the labeling indicates that the product meets USP Dissolution Test 2. Acid stage medium: Simulated gastric uid, without enzymes, pH 1.2 ± 0.05; 250 mL (first row)
Buffer stage medium: Simulated intestinal (ERR 1-May-2020) uid, without enzymes, pH 6.8 ± 0.1; 250 mL (rows 2–4) Apparatus 3: 25 dips/min; 20-mesh polypropylene screen on top and bottom; 30 s drip time
Times: 2 h in the Acid stage medium (first row); 4, 8, and 16 h (corresponding to 2, 6, and 14 h after changing the medium) in the Buffer stage medium (rows 2–4)
Solution A: Transfer 1 mL of triethylamine to 1000 mL of water. Adjust with phosphoric acid to a pH of 3.50 ± 0.05. Mobile phase: Acetonitrile and Solution A (4:1)
Standard stock solution: 0.2 mg/mL of USP Oxybutynin Chloride RS in Acid stage medium
Working standard solution: Transfer 5.0 mL of the Standard stock solution for Tablets labeled to contain 5 mg, transfer 10 mL for Tablets labeled to contain 10 mg, or transfer 15 mL for Tablets labeled to contain 15 mg to a 100-mL volumetric flask. Dilute with Buffer stage medium to volume.
Sample solution: Centrifuge a portion of the solution under test at approximately 3000 rpm for 10 min. Use the supernatant.
4.3.1 Chromatographic system
(See Chromatography 〈621〉, System Suitability.)
Mode: LC
Detector: UV 203 nm
Column: 4.6-mm × 25-cm; packing L7
Flow rate: 1.5 mL/min
TabletsInjection volume: 25 µL
4.3.2 System suitability
Sample: Working standard solution
Suitability requirements
Tailing factor: NMT 2.0
Relative standard deviation: NMT 3.0%
4.3.3 Analysis
Samples: Working standard solution and Sample solution
Calculate the percentage of the labeled amount of oxybutynin chloride (C21H31NO3 · HCl) dissolved at each time point (CT2, CT4, CT8, CT16):
Ci = (rU /rS ) × (CS /L) × V × 100
rU = peak response from the Sample solution
rS = peak response from the Working standard solution
CS = concentration of the Working standard solution (mg/mL)
L = label claim (mg/Tablet)
V = volume of Medium, 250 mL
CT2 = percentage dissolved at 2 h, C2
CT4 = percentage dissolved at 4 h, C2 + C4
CT8 = percentage dissolved at 8 h, C2 + C4 + C8
CT16 = percentage dissolved at 16 h, C2 + C4 + C8 + C16
Tolerances: See Tables 3 and 4.
Table 3. For Tablets Labeled to Contain 5 or 10 mg of Oxybutynin Chloride
Time (h) | Amount Dissolved |
2 | 0%–10% |
4 | 10%–30% |
8 | 40%–65% |
16 | NLT 80% |
Table 4. For Tablets Labeled to Contain 15 mg of Oxybutynin Chloride
Time (h) | Amount Dissolved |
2 | 0%–10% |
4 | 10%–30% |
8 | 35%–65% |
16 | NLT 75% |
The percentages of the labeled amount of oxybutynin chloride (C21H31NO3 · HCl) dissolved at the times specified conform to Dissolution 〈711〉, Acceptance Table 2.
4.4 Test 3
If the product complies with this test, the labeling indicates that the product meets USP Dissolution Test 3.
Medium: Simulated gastric uid without enzyme; 50 mL
Apparatus 7: See Drug Release 〈724〉. Use Acrylic rods. 30 dips/min, 37.0 ± 0.5°, 10 s drip time. Dip time interval: row 1, 1 h; row 2, 3 h; row 3, 6 h; row 4, 5 h; row 5, 9 h.
Times: 4, 10, and 24 h
pH 2.3 phosphate buffer: 3.4 g/L of monobasic potassium phosphate in water. Adjust with phosphoric acid or 2 N potassium hydroxide to a pH of 2.30 ± 0.05.
Standard solution: (L/200) mg/mL of USP Oxybutynin Chloride RS in Medium, where L is the label claim in mg/Tablet Sample solution: Pass a portion of the solution under test through a suitable nylon filter of 0.45-µm pore size, discarding the first few mL. Mobile phase: pH 2.3 phosphate buffer and acetonitrile (7:3)
4.4.1 Chromatographic system
(See Chromatography 〈621〉, System Suitability.)
Mode: LC
Detector: UV 220 nm
Column: 4.6-mm × 15-cm; packing L10
Flow rate: 1.0 mL/min
Injection volume: 10 µL
4.4.2 System suitability
Sample: Standard solution
Suitability requirements
Tailing factor: NMT 2.0
Relative standard deviation: NMT 2.0%
4.4.3 Analysis
Samples: Standard solution and Sample solution
Calculate the amount, in mg, of oxybutynin chloride (C21H31NO3 · HCl) dissolved at each time interval:
Result = (rU /rS ) × (CS /L) × V
rU = peak response from the Sample solution
rS = peak response from the Standard solution
CS = concentration of the Standard solution (mg/mL)
L = label claim (mg/Tablet)
V = volume of Medium, 50 mL
Calculate the percentage of the labeled amount of oxybutynin dissolved:
Result = Σ(amount dissolved at current time interval + amount dissolved at previous time intervals) × 100/L
Tolerances: See Table 5.
Table 5
Time (h) | Amount Dissolved |
4 | NMT 25% |
10 | 40%–65% |
24 | NLT 75% |
The percentages of the labeled amount of oxybutynin chloride (C21H31NO3· HCl) dissolved at the times specified conform to Dissolution 〈711〉, Acceptance Table 2.
4.5 Test 4
If the product complies with this test, the labeling indicates that the product meets USP Dissolution Test 4. Acid stage medium: 0.1 N hydrochloric acid; 900 mL
Buffer stage medium: pH 6.0 sodium phosphate buffer with 0.2% of sodium lauryl sulfate; 900 mL
Apparatus 2: 50 rpm, with sinkers. [Note—A suitable sinker is available as catalog number CAPWHT-2S from www.QLA-LLC.com.]
Times: 2 h in the Acid stage medium; 4, 6, and 14 h (corresponding to 2, 4, 12 h after changing the medium) in the Buffer stage medium Standard solution: (L/1000) mg/mL of USP Oxybutynin Chloride RS in Buffer stage medium, where L is the label claim, in mg/Tablet Sample solution: Pass a portion of the solution under test through a suitable PVDF filter of 0.45-µm pore size.
pH 3.5 phosphate buffer: 6.94 g/L of monobasic potassium phosphate in water. Adjust with diluted phosphoric acid to a pH of 3.50 ± 0.05. Mobile phase: pH 3.5 phosphate buffer and acetonitrile (1:1)
4.5.1 Chromatographic system
(See Chromatography 〈621〉, System Suitability.)
Mode: LC
Detector: UV 210 nm
Column: 4.6-mm × 15-cm; packing L7
Flow rate: 1.0 mL/min
Injection volume: 20 µL
4.5.2 System suitability
Sample: Standard solution
Suitability requirements
Column efficiency: NLT 2000 theoretical plates
Tailing factor: NMT 2.0
Relative standard deviation: NMT 2.0%
4.5.3 Analysis
Samples: Standard solution and Sample solution
Calculate the concentration (Ci) in mg/mL of oxybutynin chloride (C21H31NO3 · HCl) at each time point (i):
Ci = (rU /rS) × CS
rU = peak response from the Sample solution
rS = peak response from the Standard solution
CS = concentration of the Standard solution (mg/mL)
Calculate the cumulative percentage of the labeled amount of oxybutynin chloride (C21H31NO3 · HCl) dissolved (Qi) at each time point (i):
At i = 1
Q1 = (C1 × V/L) × 100
At i = 2 to n

i = 1, 2, ..., n
j = 2, 3, ..., n−1
Ci = concentration of oxybutynin chloride in the Sample solution at time point i (mg/mL)
Cj = concentration of oxybutynin chloride in the Sample solution at time point 2 through n−1 (mg/mL)
V = sampling volume (mL)
L = label claim (mg/Tablet)
Tolerances: See Table 6.
Table 6
Time (h) | Amount Dissolved |
2 | NMT 10% |
4 | 10%–40% |
6 | 40%–75% |
14 | NLT 85% |
The percentages of the labeled amount of oxybutynin chloride (C21H31NO3 · HCl) dissolved at the times specified conform to Dissolution〈711〉, Acceptance Table 2.
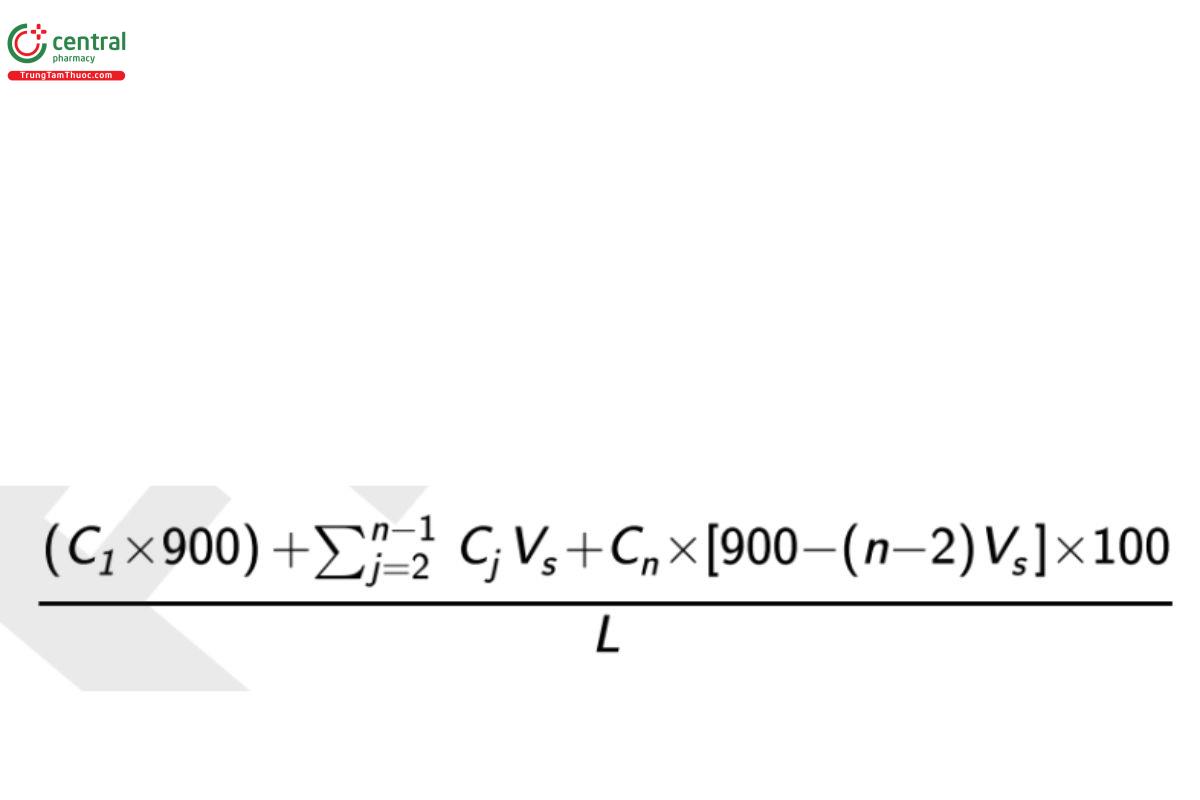
4.6 Test 5
If the product complies with this test, the labeling indicates that the product meets USP Dissolution Test 5. Medium: Acetate buffer pH 4.5, prepared as follows. Transfer 2.99 g of sodium acetate to a 1000-mL volumetric flask, dissolve in 700 mL of water, adjust with glacial acetic acid to a pH of 4.5, and dilute with water to volume; 900 mL.
Apparatus 2: 75 rpm
Times: 2, 8, 12, and 24 h
Standard stock solution: 0.28 mg/mL of USP Oxybutynin Chloride RS in acetonitrile. Use sonication, if necessary.
Standard solution: (L/900) mg/mL of USP Oxybutynin Chloride RS in Medium, where L is the label claim, in mg/Tablet, from the Standard stock solution
Sample solution: Pass a portion of the solution under test through a suitable PVDF filter of 0.45-µm pore size, discarding the first few mL of the filtrate. Replace the portion of solution withdrawn with an equal volume of Medium.
pH 3.5 phosphate buffer: 6.94 g/L of monobasic potassium phosphate in water. Adjust with phosphoric acid to a pH of 3.50 ± 0.05. Mobile phase: pH 3.5 phosphate buffer and acetonitrile (1:1)
4.6.1 Chromatographic system
(See Chromatography 〈621〉, System Suitability.)
Mode: LC
Detector: UV 210 nm
Column: 4.6-mm × 15-cm; 5-µm packing L7
Flow rate: 1.0 mL/min
Injection volume: 20 µL
4.6.2 System suitability
Sample: Standard solution
Suitability requirements
Column efficiency: NLT 2000 theoretical plates
Tailing factor: NMT 2.0
Relative standard deviation: NMT 2.0% for six replicate injections
4.6.3 Analysis
Samples: Standard solution and Sample solution
Calculate the concentration (Ci), in mg/mL, of oxybutynin chloride (C21H31NO3· HCl) in the sample withdrawn from the vessel at each point (i):
Resulti = (rU /rS ) × CS
rU = peak response from the Sample solution
rS = peak response from the Standard solution
CS = concentration of the Standard solution (mg/mL)
Calculate the percentage of the labeled amount of oxybutynin chloride (C21H31NO3 · HCl) dissolved at each time point (i):
Result1 = C1 × V × (1/L) × 100
Result2 = [(C2 × V) + (C1 × VS )] × (1/L) × 100
Result3 = {(C3 × V) + [(C2 + C1 ) × VS ]} × (1/L) × 100
Result4 = {(C4 × V) + [(C3 + C2 + C1 ) × VS ]} × (1/L) × 100
C = concentration of oxybutynin chloride in the portion of the sample withdrawn at the specified time point (mg/mL) i
V = volume of Medium, 900 mL
L = label claim (mg/Tablet)
VS = volume of the Sample solution withdrawn at each time point and replaced with Medium (mL)
Tolerances: See Table 7.
Table 7
Time (h) | Amount Dissolved |
2 | NMT 10% |
8 | 30%–50% |
12 | 55%–75% |
24 | NLT 85% |
The percentages of the labeled amount of oxybutynin chloride (C21H31NO3 · HCl) dissolved at the times specified conform to Dissolution〈711〉, Acceptance Table 2.
4.7 Test 6
If the product complies with this test, the labeling indicates that the product meets USP Dissolution Test 6. Medium: Simulated gastric uid without enzyme; 50 mL
Apparatus 7: See Drug Release 〈724〉; each Tablet is glued to a suitable rod with water insoluble glue. At the end of each specified test interval, the systems are transferred to the next row of new tubes containing 50 mL of fresh Medium, 30 cycles/min; 2–3 cm amplitude. Times: 4, 10, and 24 h
Calculate the percentage of the labeled amount of oxybutynin chloride (C21H31NO3 · HCl) dissolved by using the following method.
Buffer: 4.83 g/L of monobasic sodium phosphate in water. Add 2.3 mL/L of triethylamine, and adjust with phosphoric acid to a pH of 2.2 ± 0.2.
Mobile phase: Acetonitrile and Buffer (25:75)
Diluent: To 1 L of water add phosphoric acid dropwise to a pH of 3.5 and mix well.
Standard stock solution: 0.5 mg/mL of USP Oxybutynin Chloride RS in acetonitrile
Standard solution: 0.05 mg/mL of USP Oxybutynin Chloride RS in Diluent from Standard stock solution
Sample solution: Pass a portion of the solution under test through a suitable PVDF filter of 0.45-µm pore size, discarding the rst few milliliters of the filtrate. Dilute with Diluent, if necessary, to obtain a solution with a concentration similar to that of the Standard solution.
4.7.1 Chromatographic system
(See Chromatography 〈621〉, System Suitability.)
Mode: LC
Detector: UV 230 nm
Column: 4.6-mm × 5-cm; 5-µm packing L11
Column temperature: 35°
Flow rate: 1.5 mL/min
Injection volume: 50 µL
4.7.2 System suitability
Sample: Standard solution
Suitability requirements
Tailing factor: 0.5–2.5
Relative standard deviation: NMT 2.0%
4.7.3 Analysis
Samples: Standard solution and Sample solution
Calculate the concentration (Ci), in mg/mL, of oxybutynin chloride (C21H31NO3 · HCl) in the sample withdrawn from the vessel at each time point (i) shown in Table 8:
Ci = (rU /rS ) × CS
rU = peak response of oxybutynin from the Sample solution
rS = peak response of oxybutynin from the Standard solution
CS = concentration of USP Oxybutynin Chloride RS in the Standard solution (mg/mL)
Calculate the percentage of the labeled amount of oxybutynin chloride (C21H31NO3 · HCl) dissolved at each time point shown in Table 8:
Result1 = C1 × V × D × (1/L) × 100
Result2 = (C2 + C1 ) × V × D × (1/L) × 100
Result3 = (C1 + C2 + C3 ) × V × D × (1/L) × 100
Ci = concentration of oxybutynin chloride in the portion of sample withdrawn at time point i (mg/mL)
V = volume of Medium, 50 mL
D = dilution factor for the Sample solution
L = label claim (mg/Tablet)
Tolerances: See Table 8.
Table 8
Time (h) | Amount Dissolved (%) |
4 | NMT 20 |
10 | 35–60 |
24 | NLT 80 |
The percentages of the labeled amount of oxybutynin chloride (C21H31NO3 · HCl) dissolved at the times specified conform to Dissolution〈711〉, Acceptance Table 2.
4.8 Test 7
If the product complies with this test, the labeling indicates that the product meets USP Dissolution Test 7.
Acid stage medium: 0.1 N hydrochloric acid; 900 mL
Buffer stage medium: pH 6.0 sodium phosphate buffer with 0.2% of sodium lauryl sulfate; 900 mL
Apparatus 2: 50 rpm, with sinkers. [Note—A suitable sinker is available as catalog number CAPWHT-2S from www.QLA-LLC.com.] Times: 2 h in the Acid stage medium; 4, 8, and 16 h (corresponding to 2, 6, 14 h after changing the medium) in the Buffer stage medium for 5 mg Tablets and 6, 10, 16 h (corresponding to 4, 8, 14 h after changing the medium) in the Buffer stage medium for 10 mg and 15 mg Tablets.
Procedure: After 2 h in the Acid stage medium, withdraw a sample from the solution, and filter. Replace the Acid stage medium with the Buffer stage medium, and run the test for the times specified.
Buffer: 6.94 g/L of monobasic potassium phosphate in water. Adjust with diluted phosphoric acid to a pH of 3.50 ± 0.05. Mobile phase: Acetonitrile and Buffer (1:1)
Standard solution: 0.01 mg/mL of USP Oxybutynin Chloride RS in Buffer stage medium
Sample solution: Pass a portion of the solution under test through a suitable PVDF filter of 0.45-µm pore size.
4.8.1 Chromatographic system
(See Chromatography 〈621〉, System Suitability.)
Mode: LC
Detector: UV 210 nm
Column: 4.6-mm × 15-cm; 5-µm packing L7
Flow rate: 1.0 mL/min
Injection volume: 10 µL
4.8.2 System suitability
Sample: Standard solution
Suitability requirements
Tailing factor: NMT 2.0
Relative standard deviation: NMT 2.0%
4.8.3 Analysis
Samples: Standard solution and Sample solution
Calculate the percentage of the labeled amount of oxybutynin chloride (C21H31NO3 · HCl) dissolved in the Acid stage medium:
Result = (rU /rS ) × CS × V × (1/L) × 100
rU = peak response from the Sample solution
rS = peak response from the Standard solution
CS = concentration of USP Oxybutynin Chloride RS in the Standard solution (mg/mL)
V = volume of the Acid stage medium, 900 mL
L = label claim (mg/Tablet)
Calculate the concentration (Ci) of oxybutynin chloride (C21H31NO3· HCl) in the sample withdrawn from the vessel at each time point i during the buffer stage:
Ci = (ri /rS ) × C
r = peak response from the Sample solution at time point i
rS = peak response from the Standard solution
CS = concentration of USP Oxybutynin Chloride RS in the Standard solution (mg/mL)
Calculate the percentage of the labeled amount of oxybutynin chloride (C21H31NO3 · HCl) dissolved at each time point i during the buffer stage:
Result1 = C1× V × (1/L) × 100
Result2 = {[C2 × (V − VS )] + (C1 × V )} × (1/L) × 100
Result3 = ({C3 × [V − (2 × VS )]} + [(C2 + C1 ) × V ]) × (1/L) × 100
Ci = concentration of oxybutynin chloride in the Sample solution withdrawn at time point i (mg/mL)
V = volume of the Buffer stage medium, 900 mL
L = label claim (mg/Tablet)
V = volume of the Sample solution withdrawn at each time point i during the buffer stage (mL)
Tolerances: See Tables 9 and 10.
Table 9. For Tablets Labeled to Contain 5 mg of Oxybutynin Chloride
Time (h) | Amount Dissolved (%) |
2 | NMT 10 |
4 | 15–35 |
8 | 40–70 |
16 | NLT 70 |
Table 10. For Tablets Labeled to Contain 10 and 15 mg of Oxybutynin Chloride
Time (h) | Amount Dissolved (%) |
2 | NMT 10 |
6 | 35–60 |
10 | 60–85 |
16 | NLT 80 |
The percentages of the labeled amount of oxybutynin chloride (C21H31NO3 · HCl) dissolved at the times specified conform to Dissolution 〈711〉, Acceptance Table 2.
4.9 Test 8
If the product complies with this test, the labeling indicates that the product meets USP Dissolution Test 8. Acid stage medium: Simulated gastric uid, without enzymes, pH 1.2; 250 mL (first row)
Buffer stage medium: Simulated intestinal uid, without enzymes, pH 6.8; 250 mL (rows 2–4)
Apparatus 3: 25 dips/min; 20-mesh polypropylene screen on top and bottom; 30 s drip time
Times: 2 h in the Acid stage medium (first row); 4, 8, and 16 h (corresponding to 2, 6, and 14 h after changing the medium) in the Buffer stage medium (rows 2–4)
Buffer: 4.83 g/L of monobasic sodium phosphate in water. Add 2.3 mL/L of triethylamine, and adjust with diluted phosphoric acid to a pH of 4.0.
Mobile phase: Acetonitrile and Buffer (35:65)
Standard stock solution: 0.2 mg/mL of USP Oxybutynin Chloride RS in Acid stage medium
Standard solution: Transfer volume of the Standard stock solution specified in Table 11 to a 100-mL volumetric flask and dilute with Buffer stage medium to volume.
Table 11
Tablet Strength (mg) | Volume of Standard stock solution (mL) | Final Volume (mL) |
5 | 5.0 | 100.0 |
10 | 10.0 | 100.0 |
15 | 15.0 | 100.0 |
Sample solution: Pass a portion of the solution under test through a suitable PVDF filter of 0.45-μm pore size, discarding the first few milliliters.
4.9.1 Chromatographic system
(See Chromatography 〈621〉, System Suitability.)
Mode: LC
Detector: UV 230 nm
Column: 4.6-mm × 5-cm; 5-µm packing L7
Column temperature: 35°
Flow rate: 1.5 mL/min
Injection volume: 50 µL
4.9.2 System suitability
Sample: Standard solution
Suitability requirements
Tailing factor: NMT 2.0
Relative standard deviation: NMT 2.0%
4.9.3 Analysis
Samples: Standard solution and Sample solution
Calculate the total percentage of the labeled amount of oxybutynin chloride (C21H31NO3 · HCl) dissolved at each time point (CT2, CT4, CT8, CT16):
Ci = (rU /rS ) × (CS /L) × V × 100
Ci = percentage of oxybutynin chloride in the Sample solution withdrawn at time point i
rU= peak response from the Sample solution
rS = peak response from the Standard solution
CS = concentration of USP Oxybutynin Chloride RS in the Standard solution (mg/mL)
L = label claim (mg/Tablet)
V = volume of Medium, 250 mL
CT2 = percentage dissolved at 2 h, CT2
CT4 = percentage dissolved at 4 h, CT2 + CT4
CT8 = percentage dissolved at 8 h, CT4 + CT2 + CT8
CT16 = percentage dissolved at 16 h, CT2 + CT4 + CT8 + CT16
Tolerances: See Table 12.
Table 12
Time (h) | Amount Dissolved (%) |
2 | NMT 10 |
4 | 5–25 |
8 | 34–59 |
16 | NLT 80 |
The percentages of the labeled amount of oxybutynin chloride (C21H31NO3· HCl) dissolved at the times specified conform to Dissolution 〈711〉, Acceptance Table 2.
Test 9: If the product complies with this test, the labeling indicates that the product meets USP Dissolution Test 9. Acid stage medium, Buffer stage medium, Apparatus 3, Times, Solution A, Mobile phase, Standard stock solution, Working standard solution, Sample solution, Chromatographic system, System suitability, and Analysis: Proceed as directed in Test 2. Tolerances: See Table 13.
Table 13
Time (h) | Amount Dissolved (%) |
2 | 0–10 |
4 | 10–30 |
8 | 46–66 |
16 | NLT 80 |
The percentages of the labeled amount of oxybutynin chloride (C21H31NO3 · HCl) dissolved at the times specified conform to Dissolution 〈711〉, Acceptance Table 2.
Uniformity of Dosage Units 〈905〉: Meet the requirements
5 IMPURITIES
Organic Impurities
Diluent, Solution A (if Assay, Procedure 1 is used), Mobile phase, Impurity stock solution, System suitability solution, Sample solution, Chromatographic system, and System suitability: Proceed as directed in the corresponding Assay procedure.
Impurity standard solution: 1 µg/mL of USP Oxybutynin Related Compound A RS in the corresponding Diluent from the corresponding Impurity stock solution
Analysis
Samples: Impurity standard solution and Sample solution
Calculate the percentage of each impurity in the portion of Tablets taken:
Result = (rU /rS ) × (CS /CU ) × 100
rU = peak response of each impurity from the Sample solution
rS = peak response from the Impurity standard solution
CS = concentration of USP Oxybutynin Related Compound A RS in the Standard solution (mg/mL)
CU = nominal concentration of the Sample solution (mg/mL)
[Note—Disregard any peak less than 0.1%.]
Acceptance criteria
Individual impurities: NMT 1% of oxybutynin related compound A is found.
Total impurities: NMT 2%
6 ADDITIONAL REQUIREMENTS
Packaging and Storage: Preserve in tight containers. Store at controlled room temperature.
Labeling: When more than one Dissolution test is given, the labeling states the Dissolution test used only if Test 1 is not used.
USP Reference Standards 〈11〉
USP Oxybutynin Chloride RS
USP Oxybutynin Related Compound A RS
Phenylcyclohexylglycolic acid.
C14H18O3 234.30

