Benzalkonium Chloride
If you find any inaccurate information, please let us know by providing your feedback here

This article is compiled based on the United States Pharmacopeia (USP) – 2025 Edition
Issued and maintained by the United States Pharmacopeial Convention (USP)
1 DEFINITION
Benzalkonium Chloride is a mixture of alkylbenzyldimethylammonium chlorides of the general formula:
[C6H5CH2N(CH3)2R]Cl
in which R represents a mixture of alkyls, including all or some of the group beginning with n-C8H17 and extending through higher homologs, with n-C12H25, n-C14H29, and n-C16H33 composing the major portion. On the anhydrous basis, the content of the n-C12H25 homolog is NLT 40.0%, and the content of the n-C H homolog is NLT 20.0% of the total alkylbenzyldimethylammonium chloride content. The amount of the n-C12H25 and n-C14H29 homolog components together is NLT 70.0% of the total alkylbenzyldimethylammonium chloride content. The total alkylbenzyldimethylammonium chloride content, calculated on the anhydrous basis, with allowance made for the amount of residue on ignition, is NLT 97.0% and NMT 103.0% of [C6H5CH2N(CH3)2R]Cl.
2 IDENTIFICATION
A.
Analysis: To 2 mL of a solution (1 in 100) add 1 mL of 2 N nitric acid.
Acceptance criteria: A white precipitate is formed and is dissolved after adding 5 mL of alcohol.
B.
Analysis: Dissolve 200 mg in 1 mL of sulfuric acid, add 100 mg of sodium nitrate, and heat on a steam bath for 5 min. Cool, dilute with water to 10 mL, add 500 mg of zinc dust, and warm for 5 min on a steam bath. To 2 mL of the clear supernatant, add 1 mL of sodium nitrite solution (1 in 20), cool in ice water, and then add 3 mL of a solution of 500 mg of 2-naphthol in 10 mL of 6 N ammonium hydroxide.
Acceptance criteria: An orange-red color is produced.
C. Identification Tests—General, Chloride 〈191〉: The solution in a mixture of equal volumes of water and alcohol meets the requirements.
D. The retention times of the major peaks for benzalkonium chloride of the Sample solution correspond to those of the Standard solution, as obtained in the test for Ratio of Alkyl Components.
3 ASSAY
3.1 Ratio of Alkyl Components
Solution A: Adjust a 0.1 M solution of sodium acetate with glacial acetic acid to a pH of 5.0.
Mobile phase: Acetonitrile and Solution A (9:11). Acetonitrile and Solution A may be adjusted from (2:3) to (3:2) to meet system suitability requirements.
Standard solution: 4 mg/mL of benzalkonium chloride from USP Benzalkonium Chloride RS and water
Sample solution: 4 mg/mL of Benzalkonium Chloride
3.1.1 Chromatographic system
(See Chromatography 〈621〉, System Suitability.)
Mode: LC
Detector: UV 254 nm
Column: 3.9-mm × 30-cm; packing L10, or 4.6-mm × 25-cm; 10-μm packing L10
Flow rate: 2 mL/min
Injection volume: 20 μL
3.1.2 System suitability
Sample: Standard solution
[Note—See Table 1. Relative retention times are provided for information only, and the Standard should be used to ensure appropriate peak identi cation.]
Table 1
| Name | Relative Retention Time |
| C10 homolog | 0.9 |
| C12 homolog | 1.0 |
| C14 homolog | 1.3 |
| C16 homolog | 1.7 |
3.1.3 Suitability requirements
Resolution: NLT 1.5 between the C and C homologs
Relative standard deviation: NMT 2.0% for the C homolog
3.1.4 Analysis
Samples: Standard solution and Sample solution
Identify the homolog peaks by comparison of the retention times of the Sample solution with those of the Standard solution.
Calculate the percentage of each quaternary ammonium homolog in the portion of Benzalkonium Chloride taken:

ru = peak area of each homolog from the Sample solution
Mr = molecular weight of each homolog. The molecular weights of C10, C12, C14, and C16 homologs are 312, 340, 368, and 396, respectively.
Acceptance criteria: On the anhydrous basis, the content of the n-C12H25 homolog is NLT 40.0% and the content of the n-C14H29homolog is NLT 20.0% of the total alkylbenzyldimethylammonium chloride content. The amount of the n-C12H25 and n-C14H29 homolog components together is NLT 70.0% of the total alkylbenzyldimethylammonium chloride content.
3.2 Total Alkylbenzyldimethylammonium Chlorides
Sample: Weigh a quantity of Benzalkonium Chloride equivalent to 500 mg of anhydrous benzalkonium chloride.
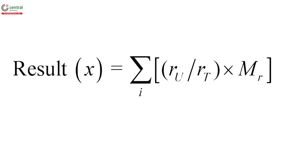
Analysis: Transfer the Sample, with the aid of 35 mL of water, to a glass-stoppered, 250-mL conical separator containing 25 mL of methylene chloride. Add 10 mL of 0.1 N sodium hydroxide, and 10.0 mL of freshly prepared potassium iodide solution (1 in 20). Insert the stopper into the separator, shake, allow the layers to separate, and discard the methylene chloride layer. Wash the aqueous layer with three 10-mL portions of methylene chloride, and discard the washings. Transfer the aqueous layer to a glass-stoppered, 250-mL conical ask, and rinse the separator with three 5-mL portions of water, adding the washings to the ask. Add 40 mL of cold hydrochloric acid to the ask, mix, and titrate with 0.05 M potassium iodate VS until the solution becomes light brown in color. Add 5 mL of methylene chloride, insert the stopper into the ask, and shake vigorously. Continue the titration, dropwise, with shaking after each addition, until the methylene chloride layer no longer changes color and the aqueous layer is clear yellow. Record the titrant volume, V , in mL. Perform a blank determination, using 20 mL of water as the sample, and record the titrant volume, V , in mL. [Note—V > V .] The difference between the two titrations represents the amount of potassium iodate equivalent to the weight of benzalkonium chloride in the sample. Each mL of 0.05 M potassium iodate is equivalent to x/10 mg of benzalkonium chloride, where x represents the average molecular weight of the sample, derived by summing, for all homologs, the products:

ru = peak area of each homolog from the Ratio of Alkyl Components test
rT = sum of all the peak areas of the homologs from the Ratio of Alkyl Components test
Mr = molecular weight of each homolog. The molecular weights of the C10, C12, C14, and C16homologs are 312, 340, 368, and 396, respectively.
Acceptance criteria: 97.0%–103.0% on the anhydrous basis
4 IMPURITIES
Residue on Ignition 〈281〉: NMT 2.0%
4.1 Limit of Amines and Amine Salts
Sample: 5.0 g of Benzalkonium Chloride
Analysis: Dissolve the Sample by heating carefully (e.g., on top of a steam bath with water as the steam source) in 20 mL of a mixture of methanol and 1 N hydrochloric acid VS (97:3). [Note—The mixed solution, however, must not reach the boiling point.] Add 100 mL of isopropyl alcohol, and pass a stream of nitrogen slowly through the solution. Gradually add 12.0 mL of 0.1 N tetrabutylammonium hydroxide VS while recording the potentiometric titration curve.
Acceptance criteria: If the curve shows two in ection points, the volume of titrant added between the two points is NMT 5.0 mL, corresponding to NMT 0.1 mmol/g of amines and amine salts. If the curve shows no point of inflection, the substance being examined does not comply with the test. If the curve shows one point of inflection, repeat the test, but add 3.0 mL of a 25.0 mg/mL solution of dimethyldecylamine in isopropyl alcohol before the titration. If after addition of 12.0 mL of the titrant, the titration curve shows only one point of inflection, the substance being examined does not comply with the test.
4.2 Limit of Benzyl Alcohol, Benzaldehyde, and (Chloromethyl)benzene
[Note—Prepare the solutions immediately before use.]
Solution A: Dissolve 1.09 g of sodium 1-hexanesulfonate and 6.9 g of monobasic sodium phosphate in water in a 1000-mL volumetric flask, adjust with phosphoric acid to a pH of 3.5, and dilute with water to volume.
Solution B: Methanol
Mobile phase: See Table 2.
Table 2
| Time (min) | Solution A (%) | Solution B (%) |
| 0 | 80 | 20 |
| 10 | 80 | 20 |
| 14 | 50 | 50 |
| 35 | 50 | 50 |
| 36 | 20 | 80 |
| 55 | 20 | 80 |
| 56 | 80 | 20 |
| 65 | 20 | 20 |
Standard solution A: 0.25 mg/mL of USP Benzyl Alcohol RS in methanol
Standard solution B: 0.075 mg/mL of USP Benzaldehyde RS in methanol
Standard solution C: 0.025 mg/mL of USP Benzyl Alcohol RS in methanol, prepared from Standard solution A and methanol
Sample solution: 50 mg/mL of Benzalkonium Chloride in methanol
4.2.1 Chromatographic system
(See Chromatography 〈621〉, System Suitability.)
Mode: LC
Detector: UV 210 nm for benzyl alcohol and (chloromethyl)benzene; UV 257 nm for benzaldehyde
Column: 4.6-mm × 15-cm; 5-μm packing L1
Column temperature: 30°
Flow rate: 1.0 mL/min
Injection volume: 20 μL
4.2.2 System suitability
Samples: Standard solution A, Standard solution B, Standard solution C, and Sample solution
[Note—See Table 3 for relative retention times.]
Table 3
| Name | Relative Retention Time |
| Benzyl alcohol | 1.0 |
| Benzaldehyde | 1.3 |
| (Chloromethyl)benzene | 2.4 |
4.2.3 Suitability requirements
Relative standard deviation: NMT 5.0% for benzyl alcohol, Standard solution A
Signal-to-noise ratio: NLT 10 for the principal peak, Standard solution C
4.2.4 Analysis
Samples: Standard solution A, Standard solution B, Standard solution C, and Sample solution
Calculate the content of (chloromethyl)benzene by multiplying the peak area of (chloromethyl)benzene by 1.3. [Note—The correction factor is used to adjust for baseline shift.]
4.2.5 Acceptance criteria
Benzyl alcohol: The response of the benzyl alcohol peak from the Sample solution is NMT that of the benzyl alcohol peak from Standard solution A, corresponding to NMT 0.5%.
Benzaldehyde: The response of the benzaldehyde peak from the Sample solution is NMT that of the benzaldehyde peak from Standard solution B, corresponding to NMT 0.15%.
(Chloromethyl)benzene: The response of the (chloromethyl)benzene peak from the Sample solution is NMT 0.1 times that of the principal peak from Standard solution A, corresponding to NMT 0.05%.
5 SPECIFIC TESTS
5.1 Acidity or Alkalinity
Sample: 0.5 g of Benzalkonium Chloride
Analysis: Dissolve the Sample in water, dilute with water to 50 mL, and mix. Add 0.1 mL of bromocresol purple TS.
Acceptance criteria: NMT 0.5 mL of 0.1 N hydrochloric acid or 0.1 N sodium hydroxide is required to change the color of the indicator.
Water Determination, Method I 〈921〉: NMT 15.0%
Water-Insoluble Matter: A solution (1 in 10) is free from turbidity and insoluble matter.
6 ADDITIONAL REQUIREMENTS
Packaging and Storage: Preserve in tight containers. No storage requirements speci fied.
USP Reference Standards 〈11〉
USP Benzaldehyde RS
USP Benzalkonium Chloride RS
USP Benzyl Alcohol RS

