Ammonio Methacrylate Copolymer
If you find any inaccurate information, please let us know by providing your feedback here

Tóm tắt nội dung
This article is compiled based on the United States Pharmacopeia (USP) – 2025 Edition
Issued and maintained by the United States Pharmacopeial Convention (USP)

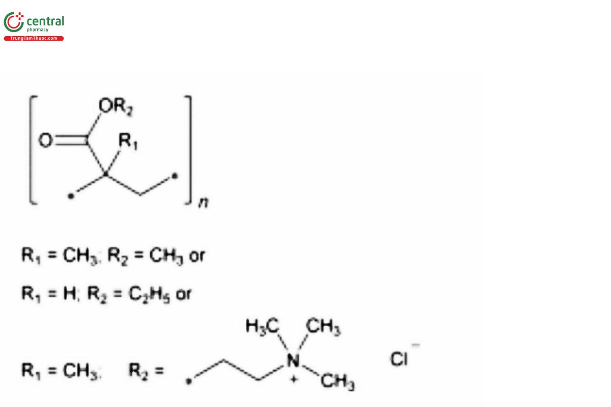
Ratio of ethyl acrylate groups to methyl methacrylate groups to trimethylammonioethyl methacrylate groups is about 1:2:0.2 as being Type A or 1:2:0.1 as being Type B.
Poly(ethyl acrylate, methyl methacrylate, trimethylammonioethyl methacrylate chloride) (1:2:0.2);
Ethyl acrylate–methyl methacrylate–trimethylammonioethyl methacrylate chloride copolymer (1:2:0.2);
Poly(ethyl acrylate, methyl methacrylate, trimethylammonioethyl methacrylate chloride) (1:2:0.1);
Ethyl acrylate–methyl methacrylate–trimethylammonioethyl methacrylate chloride copolymer (1:2:0.1) CAS RN®: 33434-24-1.
1 DEFINITION
Ammonio Methacrylate Copolymer is a polymerized copolymer of ethyl acrylate, methyl methacrylate, and a low content of methacrylic acid ester with quaternary ammonium groups (trimethylammonioethyl methacrylate chloride). The Assay requirements differ for the two types as set forth in the accompanying table.
| Ammonio Methacrylate Units, Dried Basis (%) | ||
| Type | Min. | Max. |
| A | 8.85 | 11.96 |
| B | 4.48 | 6.77 |
2 IDENTIFICATION
Change to read:
A. Spectroscopic Identification Tests 〈197〉, Infrared Spectroscopy: 197K (CN 1-May-2020)
B. Meets the requirements of the Assay
3 ASSAY
Procedure
Sample: 1 g of Ammonio Methacrylate Copolymer Type A, or 2 g of Type B, previously dried
Titrimetric system
(See Titrimetry 〈541〉.)
Mode: Direct titration
Titrant: 0.1 N perchloric acid VS
Endpoint detection: Potentiometric
Analysis
Sample: Sample
Dissolve the Sample in 75 mL of glacial acetic acid at about 50° within 30 min. After the solution cools down to room temperature, add 25 mL of 0.6% cupric acetate in glacial acetic acid. Titrate this solution and a blank, and make any necessary corrections. Each mL of 0.1 N perchloric acid is equivalent to 20.772 mg of ammonio methacrylate (C9H18ClNO2) units.
Acceptance criteria
Type A: 8.85%–11.96%
4 IMPURITIES
Inorganic Impurities
Residue on Ignition 〈281〉: NMT 0.1%
Organic Impurities
Procedure: Limit of Monomers
Sodium perchlorate solution: 35 mg/mL of sodium perchlorate (NaClO4 .H2O)
Mobile phase: Dilute phosphoric acid with water to obtain a solution with a pH of 2.0. Mix 4 volumes of this solution with 1 volume of methanol.
Standard stock solution: 1.6 mg/mL of ethyl acrylate and 0.2 mg/mL of methyl methacrylate in methanol
Standard solution: Dilute 1 mL of the Standard stock solution with methanol to 100 mL. Add 10 mL of this solution to 5 mL of the Sodium perchlorate solution. This solution contains about 10.67 µg/mL of ethyl acrylate and 1.33 µg/mL of methyl methacrylate. Sample solution: Dissolve 5 g of Ammonio Methacrylate Copolymer in methanol, and dilute with the same solvent to 50 mL. Add 5 mL of the Sodium perchlorate solution dropwise to 10 mL of this solution while continuously stirring. Remove the precipitated polymer by centrifugation. Use the clear supernatant. Calculate the concentration of Ammonio Methacrylate Copolymer, in mg/mL, as C . U
Chromatographic system
(See Chromatography 〈621〉, System Suitability.)
Mode: LC
Detector: UV 202 nm
Column: 4.6-mm × 12-cm; packing L1
Flow rate: 2 mL/min
Injection size: 50 µL
System suitability
Sample: Standard solution
[Note—The relative retention times for ethyl acrylate and methyl methacrylate are 1.00 and 1.14, respectively.]
Suitability requirements
Resolution: NLT 1.0 between the pair of analytes
Relative standard deviation: NMT 5.0% for each analyte
Analysis
Samples: Standard solution and Sample solution
Calculate the percentage of ethyl acrylate (or methyl methacrylate) in the portion of Ammonio Methacrylate Copolymer taken:
Result = (rU/rS) × (CS/CU) × F × 100
rU = peak response of ethyl acrylate (or methyl methacrylate) from the Sample solution
rS = peak response of ethyl acrylate (or methyl methacrylate) from the Standard solution
CS = concentration of ethyl acrylate (or methyl methacrylate) in the Standard solution (µg/mL)
CU = concentration of Ammonio Methacrylate Copolymer in the Sample solution (mg/mL)
F = conversion factor, 10-3 mg/µg
Acceptance criteria
Ethyl acrylate: NMT 100 ppm
Methyl methacrylate: NMT 50 ppm
5 SPECIFIC TESTS
Loss on Drying 〈731〉: Dry a sample in a vacuum at 80° for 5 h: it loses NMT 3.0% of its weight.
Viscosity—Rotational Methods 〈912〉
Sample solution: Place 52.5 g of isopropyl alcohol and 35.0 g of acetone in a conical ask with a ground-glass joint. Add a quantity of Ammonio Methacrylate Copolymer, equivalent to 12.5 g of solids on the dried basis, while stirring until the polymer has dissolved completely.
Analysis: Equip a suitable rotational viscometer with an adapter comprising a cylindrical spindle rotating within an accurately machined chamber (or tube).1 Pipet the Sample solution in the specied volume, which is recommended by the instrument manufacturer, into the chamber (or tube), and ensure that the temperature of the test specimen is at 20 ± 0.1°. The cylindrical spindle rotates at the value of rpm, which corresponds to a rate of shear of approximately 37 s−1.2 Measure the apparent viscosity following the instrument manufacturer’s directions.
Acceptance criteria: 1–15 mPa · s
6 ADDITIONAL REQUIREMENTS
Packaging and Storage: Preserve in tight containers, and store at a temperature not exceeding 30°.
Labeling: Label it to state whether it is Type A or Type B.
USP Reference Standards 〈11〉
USP Ammonio Methacrylate Copolymer, Type A RS
Poly(ethyl acrylate, methyl methacrylate, trimethylammonioethyl methacrylate chloride) (1:2:0.2);
Ethyl acrylate–methyl methacrylate–trimethylammonioethyl methacrylate chloride copolymer (1:2:0.2).
USP Ammonio Methacrylate Copolymer, Type B RS
Poly(ethyl acrylate, methyl methacrylate, trimethylammonioethyl methacrylate chloride) (1:2:0.1);
Ethyl acrylate–methyl methacrylate–trimethylammonioethyl methacrylate chloride copolymer (1:2:0.1).
1 A commercial device is available from Brookeld as an ultra-low (UL) viscosity adapter. The adapter comprises a 0.4-cm diameter shaft, an accurately machined chamber (or tube) with an internal diameter of 2.8 cm and a depth of 13.5 cm, and a cylindrical spindle 2.5 cm in diameter and 9.1 cm in height.
2 For the Brookeld UL adapter, the cylindrical spindle rotates at 30 rpm, which corresponds to a rate of shear of approximately 37 s−1.

