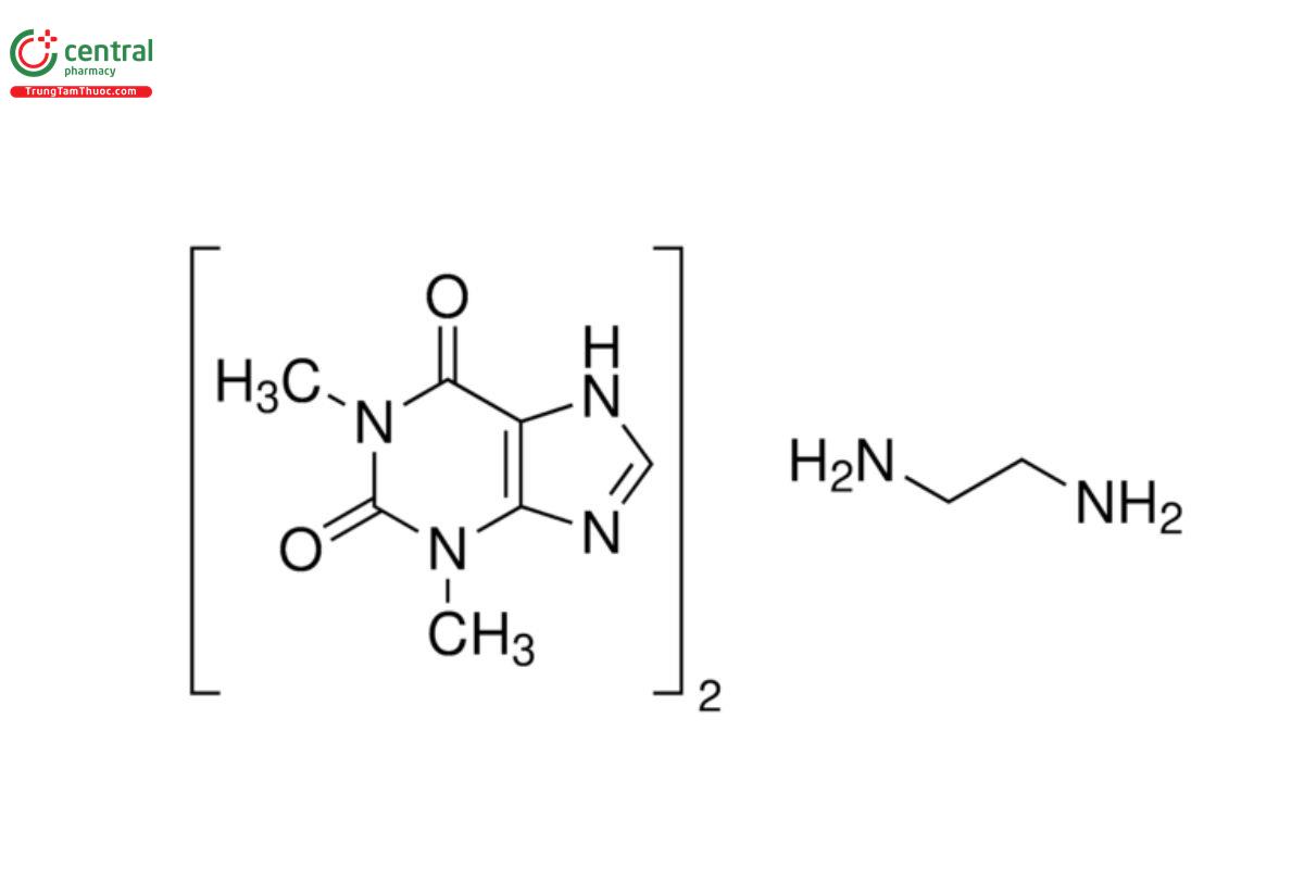
Aminophyllin
0 sản phẩm
Ước tính: 0 phút đọc, Ngày đăng:
Nếu phát hiện nội dung không chính xác, vui lòng phản hồi thông tin cho chúng tôi tại đây

Aminophyllin

| Không có sản phẩm nào trong giỏ hàng! | |
| Tổng tiền: 0 ₫ Xem giỏ hàng |
0 sản phẩm
Ước tính: 0 phút đọc, Ngày đăng:
Nếu phát hiện nội dung không chính xác, vui lòng phản hồi thông tin cho chúng tôi tại đây

Aminophyllin

Vui lòng đợi xử lý......